Zulip Chat Archive

Stream: Is there code for X?

Topic: Hensel's lemma in terms of derivative


Jz Pan (Jun 29 2025 at 17:37):

Seems that we only have Hense's lemma for Zp and for Henselian local rings in mathlib

Jz Pan (Jun 29 2025 at 17:38):

I found something interesting in an old note of commutative algebra, partially prepared by me

Jz Pan (Jun 29 2025 at 17:39):

(1) Lift-polynomial-factorization version of Hensel's lemma:

2025-06-30 013853.png

Jz Pan (Jun 29 2025 at 17:40):

I think we don't have this version in mathlib yet. But I doubt the usefulness of it. I remembered that it's used in ramification behavior of local fields?

Jz Pan (Jun 29 2025 at 17:41):

(2) Hensel's lemma in terms of derivative

2025-06-30 014123.png

Jz Pan (Jun 29 2025 at 17:42):

This is the version in mathlib for Henselian local ring. We also have a slight stronger version for Zp in mathlib, but it's proved only for Zp (yet).

Jz Pan (Jun 29 2025 at 17:45):

(3) A stronger version of Hensel's lemma in terms of derivative, also the inverse of formal power series with respect to composition

2025-06-30 014424.png

2025-06-30 014452.png

Jz Pan (Jun 29 2025 at 17:46):

I think this is the most close to the Zp version in mathlib. It turns out that it can be generalized to I-adic complete rings.

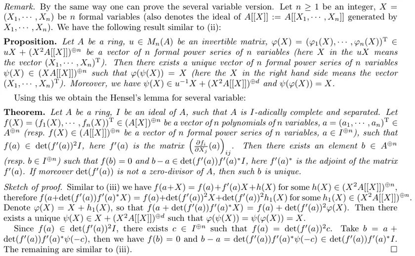
Jz Pan (Jun 29 2025 at 17:48):

It even have several variable versions:

2025-06-30 014752.png

Maybe this will be useful in several variable formal groups.

Jz Pan (Jun 29 2025 at 17:50):

I don't know if (1) holds for Henselian local rings (defined by using (2))

Jz Pan (Jun 29 2025 at 17:51):

If someone is interested I can provide proofs (two full pages...)

Antoine Chambert-Loir (Jun 29 2025 at 18:09):

I believe one should formalize the whole of Raynaud's book on local henselian rings.

Ruben Van de Velde (Jun 29 2025 at 18:17):

Any particular "one" who should do this? :)

Jz Pan (Jun 29 2025 at 18:30):

Antoine Chambert-Loir said:

I believe one should formalize the whole of Raynaud's book on local henselian rings.

Wow, that's a huge project.

Jz Pan (Jun 29 2025 at 18:31):

Ruben Van de Velde said:

Any particular "one" who should do this? :)

No one unless one needs to use it...

Antoine Chambert-Loir (Jun 29 2025 at 18:35):

That may look like a huge project, but until such fundamental books have been formalized, any stuff in algebraic geometry will inevitably bump into missing stuff all the time. (In it, you have a fairly general and usable theory of hensel rings, and its applications, eg to the Main theorem of Zariski.)

Kevin Buzzard (Jun 29 2025 at 19:05):

I wonder when AI will be massively helpful for jobs like this.

Antoine Chambert-Loir (Jun 29 2025 at 22:11):

Come on, Kevin, Stochastic algorithms don't reason and AI is only useful to a limited number of people who make jobs more profitable to them while worse for those who do them.

Kevin Buzzard (Jun 29 2025 at 22:26):

Basically you're saying "we should manually translate a pretty much self-contained book into lean" and other people are saying "yeah but which human will actually do this" and I'm saying "I think one day a machine might be able to do quite a good first draft"

Kim Morrison (Jun 29 2025 at 22:43):

Antoine Chambert-Loir said:

Come on, Kevin, Stochastic algorithms don't reason and AI is only useful to a limited number of people who make jobs more profitable to them while worse for those who do them.

I'm really curious, @Antoine Chambert-Loir, about your take on the trinity auto-formalization output. Have you read it?

Antoine Chambert-Loir (Jun 30 2025 at 02:28):

Probably not, and maybe I should. Which paper are you referring to?

Alex Kontorovich (Jun 30 2025 at 02:50):

https://www.morph.so/blog/trinity

Antoine Chambert-Loir (Jun 30 2025 at 02:58):

OMG…

Jihoon Hyun (Jun 30 2025 at 03:51):

Just curious, @Jz Pan are you working on factorizing polynomials?

Jz Pan (Jun 30 2025 at 05:11):

Jihoon Hyun said:

Just curious, Jz Pan are you working on factorizing polynomials?

No, currently I'm not working on any of these Hensel's lemmas. The Zp version in mathlib suffices to me. But of course this is not a long time solution.

Kim Morrison (Jun 30 2025 at 06:10):

@Antoine Chambert-Loir, more specifically, https://github.com/morph-labs/lean-abc-true-almost-always/blob/main/ABCTrueAlmostAlways/ABCTrueAlmostAlways.lean, which was formalized from https://arxiv.org/pdf/2505.13991

Kim Morrison (Jun 30 2025 at 06:11):

There is of course no paper. That is not the nature of these things. :-)

Anatole Dedecker (Jun 30 2025 at 09:07):

Kevin Buzzard said:

Basically you're saying "we should manually translate a pretty much self-contained book into lean" and other people are saying "yeah but which human will actually do this" and I'm saying "I think one day a machine might be able to do quite a good first draft"

My two cents: I think a lot of people would love to do a lot of formalization if they could get (academic and financial) credit for it, and imo it would be a much better use of our ressources. Besides, we all know that the optimal way to write a textbook is not the optimal way to write a Lean file, and I worry that starting with a statement-by-statement translation of any textbook will lead us to unusable results.

Anatole Dedecker (Jun 30 2025 at 09:08):

I mean, I thought we all agreed that formalizing existing mathematics is both fun and nontrivial, so I don't get why we're trying so hard to get machines to do this job.

Yaël Dillies (Jun 30 2025 at 09:21):

I personally see a lot of value in getting machines to do the boring part of the job, like reformatting, filling in basic API, etc...

Anatole Dedecker (Jun 30 2025 at 09:29):

I get this, but isn't this the kind of task where we should have reliable hand-crafted automation rather than high-powered LLMs? Keep in mind that reviewing is a major bottleneck for us, so I think that deterministic tooling has a clear advantage in terms of reviewing time.

Yaël Dillies (Jun 30 2025 at 09:41):

Sure, I'm easy :slight_smile:

Anatole Dedecker (Jun 30 2025 at 09:52):

Maybe I don't understand your message, but I'm definitely not suggesting that this is an easy task. The use of "high-powered" to refer to LLMs was meant in a rather litteral meaning (as in, LLMs are high-powered in terms of money, compute power, etc...), not as an opposition between "powerful tools for hard tasks" and "trivial tools for easy tasks".

Anatole Dedecker (Jun 30 2025 at 09:56):

Sorry if that read as "what you're doing is easy and should be easy to automate", I do not think this at all. Instead, I think that you deserve reliable and deterministic tools to help you (and everyone else) in these tasks so that you don't have to triple-check that the machine did everything as you expected.

Yaël Dillies (Jun 30 2025 at 10:03):

Ah sorry, that's a :flag_united_kingdom:-ism: I mean that I am a priori happy with any solution that improves my productivity when writing Lean code (modulo some environmental and privacy concerns)

Antoine Chambert-Loir (Jun 30 2025 at 11:02):

That's a big modulo, you'll apparently agree.

suhr (Jun 30 2025 at 11:23):

Running a LLM locally solves the privacy problem. It limits your choice to smaller models though, since you can't fit models like deepseek r1 into a single rtx 4090.

Antoine Chambert-Loir (Jul 02 2025 at 15:05):

I wrote a blog post organizing my thoughts about this experiment.
https://freedommathdance.blogspot.com/2025/07/autoformalization-of-mathematical.html

Alex Kontorovich (Jul 02 2025 at 15:36):

Thanks Antoine, very interesting! (My guess for the name "Trinity" is that it doesn't come from the Matrix, but rather the nuclear test, as in, a new world now exists... however overblown such claims may be...) I'm curious: nevermind the AI hype; did you end up feeling that there was some benefit to using such systems to speed up formalization work, of the kind we experienced at the Simons meeting? (I certainly feel such a speed-up. I believe Terry does as well...)

Antoine Chambert-Loir (Jul 02 2025 at 15:55):

No, i'm sorry, i didnt feel any benefit at all, and while — obviously — I can't dismiss your feelings, I turn my back to the idea that they have net benefit. (Speed-up does not interest me.)

Martin Dvořák (Jul 02 2025 at 17:12):

Antoine Chambert-Loir said:

I wrote a blog post organizing my thoughts about this experiment.
https://freedommathdance.blogspot.com/2025/07/autoformalization-of-mathematical.html

Thank you very much for such an insightful blog post!

suhr (Jul 02 2025 at 18:09):

In my experience, LLMs are somewhat useful for translating things from one language to another (that includes from a native language to a computer language) when such a translation does not require any actual understanding. But translating statements is a small and boring part of formalization.

For the hard and fun parts of formalization LLMs are neither useful nor desirable.

suhr (Jul 02 2025 at 18:13):

https://www.youtube.com/watch?v=cyyR7j2ChCI seems to be a good demonstration by the way: Terry uses statements generated by copilot, but immediately throws away AI generated proofs since these proofs are nonsense.

metakuntyyy (Jul 03 2025 at 21:41):

Anatole Dedecker said:

I mean, I thought we all agreed that formalizing existing mathematics is both fun and nontrivial, so I don't get why we're trying so hard to get machines to do this job.

Because, given the opportunity, players will optimize the fun out of the game.

metakuntyyy (Jul 03 2025 at 21:42):

Reminds me of my friend who had excel sheets just to play WOW, he even had to learn the quadratic formula as a mathematically inept person just so he could game.

Kim Morrison (Jul 03 2025 at 23:55):

I think it is going to be more fun when the boring parts get done without your attention. (Hence grind, and hence hoping that as LLMs are already taking the tedium out of writing python, they will take the tedium out of the uninteresting parts of proofs.)

Anh Nguyễn (Jul 04 2025 at 08:56):

When would Trinity become available for user

Ruben Van de Velde (Jul 04 2025 at 09:13):

Anatole Dedecker said:

I mean, I thought we all agreed that formalizing existing mathematics is both fun and nontrivial, so I don't get why we're trying so hard to get machines to do this job.

As a skeptic myself, I guess I can see some appeal if you want to work towards Big Theorem X but that depends on 5 relatively basic textbooks, and formalizing all those first seems daunting. But then I'm still not convinced the trade-off is worth it

Martin Dvořák (Jul 04 2025 at 19:41):

I pretty much agree both with the content and with the sentiment of Antoine Chambert-Loir's blog post.
Even tho Trinity sounds interesting, I am not excited about using it as a tool, or seeing it used by my colleagues.

I don't dream of a future where I write more-detailed informal proofs.
I dream of a future where I write less-detailed formal proofs!

Filippo A. E. Nuccio (Jul 08 2025 at 14:24):

Antoine Chambert-Loir said:

I wrote a blog post organizing my thoughts about this experiment.
https://freedommathdance.blogspot.com/2025/07/autoformalization-of-mathematical.html

Thanks @Antoine Chambert-Loir , nicely written and very interesting read!

Wrenna Robson (Jul 08 2025 at 15:32):

Antoine Chambert-Loir said:

I wrote a blog post organizing my thoughts about this experiment.
https://freedommathdance.blogspot.com/2025/07/autoformalization-of-mathematical.html

I was thinking many of these thoughts - and then you'd already written them! How kind :)

Wrenna Robson (Jul 08 2025 at 15:34):

I have spent a bit of time (it is a persistent theme in my thesis) thinking about the meaning of formalization work - which not to get too high-falutin' is basically what I mean by trying to pin down the "OK, but why" of a given formalization. I think intuitively I don't see much use in a proof of some particular lemma broken down into incomprehensible lemmas with little structure and zero good and useful naming. Like - who is it for? Who benefits? What can be built from it? If a proof typechecks, but nobody will use the result, and there is no concievable reason for the result, why should anyone care?

Wrenna Robson (Jul 08 2025 at 15:35):

I find AIs are quite good at producing text I don't want to read, and that indeed no human particularly cares to read, and I think they're quite good at producing code I don't want to read and definitely don't want to run either. Seems plausible the same is true of proofs.

Wrenna Robson (Jul 08 2025 at 15:37):

I'm sure many of us have had the experience of proving some result that feels absolutely key, but in practice we rarely actually use that theorem in that form, because it isn't the one that is actually useful for building stuff out of (often a sign that I've built something wrong).

Wrenna Robson (Jul 08 2025 at 15:37):

It feels to me like that on a macro scale.

Bhavik Mehta (Jul 08 2025 at 15:59):

While I haven't looked at all the comments in this thread, I will say that this particular lemma was part of the plan in the ABC-Exceptions project (https://github.com/b-mehta/abc-exceptions), and was a blueprint node there since well before any AI involvement (https://b-mehta.github.io/ABC-Exceptions/blueprint/sect0001.html#prop:ABCTrivialBound). This is one of the five nodes of that project where the blueprint proof is essentially "go read another paper".

Filippo A. E. Nuccio (Jul 11 2025 at 18:11):

Antoine Chambert-Loir said:

I wrote a blog post organizing my thoughts about this experiment.
https://freedommathdance.blogspot.com/2025/07/autoformalization-of-mathematical.html

An interesting conference, isn't it, @Antoine Chambert-Loir ?
https://agents4science.stanford.edu/index.html
:slight_smile:

Sébastien Gouëzel (Jul 11 2025 at 18:15):

That's a joke, right? I'm afraid not...

Filippo A. E. Nuccio (Jul 11 2025 at 18:19):

I don't think so... but in the FAQ page they say something interesting:

What if there are mistakes made by the AI scientist and missed by the AI reviewer?

We anticipate that errors will happen, and studying them will be instructive. All submissions and reviews will be publicly available on OpenReview. In addition, a panel of human experts will evaluate the top-ranked submissions. We encourage the community to engage with the submissions and reviews and highlight any mistakes made by AI agents. Understanding these failure modes is a key goal of the conference.

Yuyang Zhao (Aug 10 2025 at 01:23):

#28168 I proved a version of Hensel's lemma. However, I am not an expert in this field. I would like to know which intermediate results and corollaries are useful.


Last updated: Feb 28 2026 at 14:05 UTC