Zulip Chat Archive

Stream: new members

Topic: Irreducible


vxctyxeha (Jun 04 2025 at 18:49):

I proved that if n
is a prime, then p(x)=xn−1+⋯+x+1
is irreducible over Z
But how to split a and b? Is there such an equation in mathlib?

import Mathlib

open Polynomial Nat

theorem irreducible_geom_sum_iff_prime (p : ) (hp_ge_2 : 2  p) :
    Fact p.Prime  Irreducible ( i  Finset.range p, X ^ i : [X]) := by
  constructor
  · -- 方向 1: Fact p.Prime → Irreducible (∑ X^i)
    intro hp_fact -- hp_fact : Fact p.Prime
    rw [ (@cyclotomic_prime  _ p hp_fact)]
    apply cyclotomic.irreducible
    exact Nat.Prime.pos hp_fact.out

  intro h_irred_sum -- h_irred_sum : Irreducible (∑ i ∈ Finset.range p, X ^ i)
  have p_is_prime : p.Prime :=by
    by_contra h_not_prime_p_proof
    obtain a, ha_dvd_p, ha_one_lt_a, ha_lt_p :  a, a  p  1 < a  a < p :=
        Nat.exists_dvd_of_not_prime2 hp_ge_2 h_not_prime_p_proof
    obtain b, p_eq_ab := exists_eq_mul_left_of_dvd ha_dvd_p
    have hb_one_lt_b : 1 < b :=by
      rw [p_eq_ab] at ha_lt_p
      by_cases h_b_is_zero : b = 0
      rw [h_b_is_zero] at p_eq_ab; linarith [p_eq_ab, hp_ge_2];exact one_lt_of_lt_mul_left ha_lt_p
    rw [p_eq_ab] at h_irred_sum
    rw [ geom_sum₂_with_one ] at h_irred_sum
    simp only [one_pow, mul_one] at h_irred_sum

Aaron Liu (Jun 04 2025 at 18:57):

Can you tell me exactly what you mean by "split"? What do you want to split?

vxctyxeha (Jun 04 2025 at 19:21):

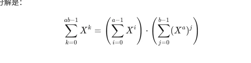
image.png
i need to prove contradiction

Aaron Liu (Jun 04 2025 at 19:42):

import Mathlib

-- What should I call this? `geom_sum_mul` is taken.
example {R : Type*} [Semiring R] (x : R) (n m : ) :
     i  Finset.range (n * m), x ^ i =  i  Finset.range m, x ^ i *  i  Finset.range n, (x ^ m) ^ i := by
  rw [ Fin.sum_univ_eq_sum_range,  finProdFinEquiv.sum_comp, Fintype.sum_prod_type]
  simp_rw [finProdFinEquiv_apply_val, pow_add, pow_mul,  Finset.sum_mul,  Finset.mul_sum, Fin.sum_univ_eq_sum_range]

vxctyxeha (Jun 04 2025 at 21:05):

is it true ?0 < (∑ i ∈ Finset.range a, X ^ i).degree

Aaron Liu (Jun 05 2025 at 00:18):

It's not true for a = 0 and a = 1

Jz Pan (Jun 05 2025 at 03:04):

Aaron Liu said:

What should I call this? geom_sum_mul is taken.

Maybe geom_sum_mul_eq_geom_sum_mul_geom_sum

vxctyxeha (Jun 05 2025 at 08:50):

thanks


Last updated: Feb 28 2026 at 14:05 UTC