Zulip Chat Archive

Stream: new members

Topic: intuition for "correct" formal definitions in λD


rzeta0 (Dec 16 2025 at 02:23):

I'm working though Type Theory & Formal Proof (Nederpelt) as it was recommended here as a good way to learn the basics of how a proof assistant like Lean works.

Chapter 8 introduces formal definitions, and Chapter 9 starts to extend λC to λD, by extending the derivation rules to incorporate formal definitions (link).

In the exercises to Chapter 9, the author introduces the concept of a definition DD being correct in environment Δ\Delta if

Δ,D;:\Delta, D ; \emptyset \vdash *:\Box

Terminology: An environment is an ordered list of definitions, similar but separate to the usual context which can bind free variables. The \emptyset above is this usual context, but empty. Also * is the type of types, eg N:\mathbb{N} : *, including propositions and sets. The \Box is the type of *, and needed to deal with eg :* \to * : \Box.

Question: I don't understand intuitively the concept of correct. I'd welcome help.


My Thinking

Imagine I have a correct definition D1D_1 in the empty environment \emptyset. This means

,D1;:\emptyset, D_1 ; \emptyset \vdash *:\Box

Now if I have another definition D2D_2, which we assume for the purpose of contradiction is not correct in the environment D1D_1.

Next we consider the environment and empty context D1,D2;D_1, D_2 ; \emptyset. I believe I can still derive :*:\Box simply by ignoring D2D_2, and using the correctness of D1D_1. This would mean D2D_2 is in fact correct in the environment D1D_1.

Clearly I'm confused about either the meaning of correct, or misguided on how to derive :*:\Box from a given environment and context.

This would mean D2D_2 is correct in environment D1D_1.


Note: I'm a self-teaching beginner so there may be many flaws in the above. I appreciate your patience!

Aaron Liu (Dec 16 2025 at 02:27):

this makes sense to me

rzeta0 (Dec 16 2025 at 02:30):

It doesn't make sense to me sadly. Are you able to give me a notion of what "correct" is supposed to mean?

Perhaps an example of a non-correct definition could help me see how it contravenes the test Δ,Dbad;:\Delta, D_{\text{bad}}; \emptyset \vdash *:\Box ?

Aaron Liu (Dec 16 2025 at 02:31):

well the (sort) formation rule only works in the empty environment

Aaron Liu (Dec 16 2025 at 02:31):

so at some point you have to add in the definition DbadD_{\text{bad}} using the (def) rule

rzeta0 (Dec 16 2025 at 02:38):

So it seems I can add any definition to an environment, using the (def) rule, which only imposes the requirement that the types of the variables in the definition parameter list can themselves be derived.

But if I have a bad DbadD_{\text{bad}} where this requirement is not met, I can still have

Δ,Dbad;:\Delta, D_{\text{bad}}; \emptyset \vdash *:\Box

So even though I have constructed a definition which doesn't satisfy the premises of the (def) rule, the above suggests it is correct.

What am I missing? Sorry for being slow, this has bugged me for days and I re-reading Chapter 9 twice hasn't helped.

Aaron Liu (Dec 16 2025 at 02:40):

rzeta0 said:

So it seems I can add any definition to an environment, using the (def) rule, which only imposes the requirement that the types of the variables in the definition parameter list can themselves be derived.

You have to derive that the value has the correct type

Aaron Liu (Dec 16 2025 at 02:43):

rzeta0 said:

But if I have a bad DbadD_{\text{bad}} where this requirement is not met, I can still have

Δ,Dbad;:\Delta, D_{\text{bad}}; \emptyset \vdash *:\Box

wait I'm confused

Aaron Liu (Dec 16 2025 at 02:43):

why do you say you can have this

rzeta0 (Dec 16 2025 at 02:47):

You have to derive that the value has the correct type

Which value do you mean? The only values I can think of are those that are substituted for the parameter variables at instantiation time - the (inst) rule, not during the (def) rule.

why do you say you can have this

Because I can derive :*:\Box using Δ\Delta and simply ignore DbadD_{\text{bad}}.

This would be like saying x=2,y=3x=2, y=3 allows me to derive x+y=5x+y=5. And then adding a superfluous z=10z=10 to give x=2,y=3,z=10x=2, y=3, z=10 still allows me to derive x+y=5x+y=5.

I hope this is exposing the root of my misunderstanding..

Aaron Liu (Dec 16 2025 at 02:49):

rzeta0 said:

Because I can derive :*:\Box using Δ\Delta and simply ignore DbadD_{\text{bad}}.

Then you get Δ;:\Delta; \emptyset \vdash * : \Box

Aaron Liu (Dec 16 2025 at 02:49):

which is clearly not the same thing

Aaron Liu (Dec 16 2025 at 02:50):

and there's no rule that lets you add DbadD_{\text{bad}} onto that without verifying it

rzeta0 (Dec 16 2025 at 02:55):

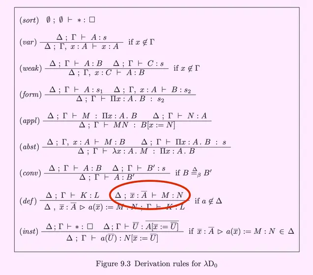
So this leads me to understand correct as meaning verifying the types of the parameters of the definition can be derived in the given environment, as illustrated by the attached image.

D0 copy.png

Furthermore, correct does not imply any other kind of verification, only this.

Am I right?

Aaron Liu (Dec 16 2025 at 02:56):

hold on, I don't understand what the bars mean

Aaron Liu (Dec 16 2025 at 02:56):

is that like a list of parameters

Aaron Liu (Dec 16 2025 at 03:01):

so what this looks like to me is, "in environment Δ\Delta with context of free variables x:A\overline{x} : \overline{A}, if you can derive M:NM : N then you can add aa as a new definition to the environment Δ\Delta so that a(x)a(\overline{x}) has type NN and value MM"

rzeta0 (Dec 16 2025 at 03:01):

yes, the bar is the book author's notation for abbreviating a list of things

rzeta0 (Dec 16 2025 at 03:08):

and yes that is the interpretation of the (def) rule.

so I'm still not certain of what correctness is supposed to mean... I'll sleep now and look again tomorrow.

Aaron Liu (Dec 16 2025 at 03:27):

a correct definition is just one that typechecks basically

Aaron Liu (Dec 16 2025 at 03:47):

The part at the end with :\vdash * : \Box is just a dummy

Aaron Liu (Dec 16 2025 at 03:47):

it's like saying ∃ x, True, the True is just a dummy

Aaron Liu (Dec 16 2025 at 03:48):

the important part is not the True but the x


Last updated: Feb 28 2026 at 14:05 UTC