Zulip Chat Archive
Stream: Is there code for X?
Topic: (Nice) algebraic curves
Michael Stoll (Oct 01 2024 at 11:07):
How close are we to be able to state "Let be a nice (= smooth, projective and geometrically irreducible) curve over the field "?
Background: I'm planning to give another talk (at the Swiss Number Theory Days) similar to the one I gave at the Mordell Conference earlier this year (here are the slides), and I'd like to check on the status quo regarding being able to state Mordell's Conjecture/Faltings' Theorem based on Mathlib.
As far as I can remember, there were some encouraging developments at and after the AIM workshop on formalizing algebraic geometry, but I haven't followed this in detail since then. So any updates are appreciated.
Grepping through Mathlib for "Curve" gives lots of hits for "EllipticCurve", "WeierstrassCurve" and "IntegralCurve" (which is not an integral curve in the sense of alg. geom.), but apparently nothing else, so it looks like there is no direct definition available. But perhaps this is easy to add with what is available?
Christian Merten (Oct 01 2024 at 11:42):
- For smooth (of rel. dimension 1), you can have a look at #16890 for an overview. There is more in the pipeline, but I am hesitant to create long sequences of dependent PRs.
- If you are happy to replace "projective" with "proper", then it is there, but you have to piece docs#AlgebraicGeometry.UniversallyClosed, docs#AlgebraicGeometry.IsSeparated, docs#AlgebraicGeometry.LocallyOfFiniteType and docs#AlgebraicGeometry.QuasiCompact together (for progress towards proper being usable, see e.g. #15038).
- no geometrically irreducible, but you can piece it together from docs#CategoryTheory.MorphismProperty.universally and docs#IrreducibleSpace
Michael Stoll (Oct 01 2024 at 12:04):
@Christian Merten Thanks! I'll have a look.
Michael Stoll (Oct 01 2024 at 17:42):
OK, I guess for the purposes of my talk, the point is that we can, with some work, define a notion of "nice curve" already now (modulo projective vs. proper), but some more work needs to be done to make this nice (pun intended) and usable. (Before seriously embarking on a project along the lines described in the talk, it is certainly better to wait until algebraic curves are in Mathlib. But it looks like this will not be very far away.)
David Ang (Oct 01 2024 at 18:36):
If you're willing to restrict to genus 2 hyperelliptics, Mordell's conjecture can arguably be stated today :)
Michael Stoll (Oct 01 2024 at 18:37):
This will be true for hyperelliptic curves in general, but I consider that cheating :smile:
Kevin Buzzard (Oct 01 2024 at 19:34):
How close are we to being able to talk about H^0(Omega^1)? That'll give genus but I don't know if we've glued together the one-forms on the affine pieces yet
Michael Stoll (Oct 01 2024 at 19:55):
I didn't dare to ask for the genus yet...
Kevin Buzzard (Oct 01 2024 at 21:15):
Oh I thought the goal was stating Faltings' theorem!
Christian Merten (Oct 01 2024 at 21:20):
Kevin Buzzard said:
How close are we to being able to talk about H^0(Omega^1)? That'll give genus but I don't know if we've glued together the one-forms on the affine pieces yet
I think we are close to having as a presheaf, but I don't know if there is more. Maybe @Joël Riou wants to comment?
Antoine Chambert-Loir (Oct 02 2024 at 05:27):
Maybe will be accessible first.
Michael Stoll (Oct 02 2024 at 05:32):
Kevin Buzzard said:
Oh I thought the goal was stating Faltings' theorem!
Sure. But before we talk about the genus, we need the curves... :smile:
Joël Riou (Oct 02 2024 at 15:54):
Christian Merten said:
I think we are close to having as a presheaf, but I don't know if there is more. Maybe Joël Riou wants to comment?
We have the "absolute" presheaf of differentials of presheaf of rings (over the integers). With some more work about sheafification and pullbacks of (pre)sheaves of modules, the relative (pre)sheaf of differentials could be defined. With some more work, we could show it is quasi-coherent...
Joël Riou (Oct 02 2024 at 15:55):
I am currently thinking about making some progress about pullbacks of (pre)sheaves of modules.
Christian Merten (Oct 02 2024 at 16:45):
Joël Riou said:
Christian Merten said:
I think we are close to having as a presheaf, but I don't know if there is more. Maybe Joël Riou wants to comment?
We have the "absolute" presheaf of differentials of presheaf of rings (over the integers). With some more work about sheafification and pullbacks of (pre)sheaves of modules, the relative (pre)sheaf of differentials could be defined. With some more work, we could show it is quasi-coherent...
Do I understand correctly, that this is needed to allow arbitrary F in docs#PresheafOfModules.DifferentialsConstruction.relativeDifferentials' ?
Joël Riou (Oct 02 2024 at 18:16):
Yes, the idea is to construct the relative differential of by using the cokernel of
David Loeffler (Oct 02 2024 at 18:47):
Assuming we can define the genus as a cardinal (as the dimension of ), how do we get from there to defining it as a Nat? That amounts to proving that is finite-dimensional, which sounds like serious work.
Adam Topaz (Oct 02 2024 at 18:48):
There is always docs#Cardinal.toNat
David Loeffler (Oct 02 2024 at 18:50):
"This function sends finite cardinals to the corresponding natural, and infinite cardinals to 0." :vomit:
Kevin Buzzard (Oct 03 2024 at 09:36):
You don't need to prove finite-dimensionality if all you want to do is to state Faltings' theorem. And if you want to prove it then there are an awful lot of far more serious problems :-)
Kevin Buzzard (Oct 03 2024 at 09:38):
David Loeffler said:
"This function sends finite cardinals to the corresponding natural, and infinite cardinals to 0." :vomit:
When I define Nat.pred in front of the undergrads I always have pred 0 = 37, maybe you'd like this convention better?
Joël Riou (Oct 04 2024 at 09:16):
Joël Riou said:
I am currently thinking about making some progress about pullbacks of (pre)sheaves of modules.
The pullback of presheaves of modules is constructed in a series of PR #16755, #17389, #17388 and #17366. It needs some cleaning up, but #16755 and #17389 are ready for review.
Joël Riou (Oct 06 2024 at 17:58):
I now have very draft code for the sheaf of differentials of a morphism of schemes:
https://github.com/leanprover-community/mathlib4/pull/17471/files#diff-aee684e69be0f996df67f2d837d4531650486ecce319817b462cf7caa97e62e2R12-R15
(It follows from the construction of the relative differentials as a presheaf #17469 and the sheafification #17471.)
Christian Merten (Oct 18 2024 at 10:16):
@Michael Stoll, unfortunately a week to late for your last talk, but maybe in time for the next one:
import Mathlib
universe u
open CategoryTheory Limits AlgebraicGeometry
/-- A scheme `X` over a field `K` is geometrically irreducible, if it remains irreducible
after base changing along arbitrary field extensions of `K`. -/
class IsGeometricallyIrreducible {K : Type u} [Field K] (f : X ⟶ Spec (.of K)) : Prop where
pullback_irreducibleSpace_of_field {L : Type u} [Field L] (i : CommRingCat.of K ⟶ .of L) :
IrreducibleSpace ↑(pullback f (Spec.map i))
class IsNiceCurve [Field K] (f : X ⟶ Spec (.of K)) extends
IsGeometricallyIrreducible f, IsProper f, IsSmoothOfRelativeDimension 1 f
compiles in Mathlib now.
Michael Stoll (Oct 18 2024 at 11:19):
Nice! (Pun intended...)
Kevin Buzzard (Oct 18 2024 at 16:49):
Great! I'll do curves at this workshop then!
Kevin Buzzard (Oct 18 2024 at 16:49):
Any ideas for projects greatly appreciated!
Christian Merten (Oct 19 2024 at 11:16):
I think a fun project would be developing the notion of IsGeometrically P where P is a morphism property with target Spec K, where of course the main examples of P should be the source is irreducible, connected or reduced. In particular to show that it suffices to check these on one algebraically closed extension following e.g. EGA IV.2, 4.3-4.6 first restricting to the affine case.
Michael Stoll (Nov 03 2024 at 18:14):
Kevin Buzzard said:
Any ideas for projects greatly appreciated!
Not sure how much work this still is, but defining the genus of a (nice) curve would be a worth while target.
Michael Stoll (Nov 03 2024 at 19:11):
What is the idiomatic way of defining the type of (-)points on a nice curve over ? I.e., how to fill the second sorry below?
import Mathlib
open CategoryTheory Limits AlgebraicGeometry
/-- A scheme `X` over a field `K` is geometrically irreducible, if it remains irreducible
after base changing along arbitrary field extensions of `K`. -/
class IsGeometricallyIrreducible {K : Type u} [Field K] (f : X ⟶ Spec (.of K)) : Prop where
pullback_irreducibleSpace_of_field {L : Type u} [Field L] (i : CommRingCat.of K ⟶ .of L) :
IrreducibleSpace ↑(pullback f (Spec.map i))
class IsNiceCurve {K : Type u} [Field K] (f : X ⟶ Spec (.of K)) extends
IsGeometricallyIrreducible f, IsProper f, IsSmoothOfRelativeDimension 1 f
structure NiceCurve (K : Type u) [Field K] where
X : Scheme
f : X ⟶ Spec (.of K)
nice : IsNiceCurve f
lemma NiceCurve.isSmooth {K : Type u} [Field K] (X : NiceCurve K) : IsSmoothOfRelativeDimension 1 X.f :=
X.nice.toIsSmoothOfRelativeDimension
-- etc.
def NiceCurve.genus {K} [Field K] (X : NiceCurve K) : ℕ := sorry
def NiceCurve.Points {K} [Field K] (X : NiceCurve K) : Type* := sorry
open NiceCurve
theorem Mordell {k X : Type} [Field k] [NumberField k] (X : NiceCurve k) (h : genus X ≥ 2) :
Finite (Points X) := sorry
Andrew Yang (Nov 03 2024 at 19:40):
Maybe { f : Spec (.of K) ⟶ X // f ≫ X.f = 𝟙 _ } for now but in #18321 there is an attempt to add a thin wrapper around this.
Kevin Buzzard (Nov 04 2024 at 05:20):
So it looks like won't be ready by 16th Nov when the workshop starts. But what about ?
Matteo Cipollina (Jan 19 2025 at 21:02):
what about:
def NiceCurve.Points {K} [Field K] (X : NiceCurve K) : Type* :=
{ pt : Spec (.of K) ⟶ X.X // pt ≫ X.f = 𝟙 (Spec (.of K)) }
?
A K-point of a scheme X over K is a map from the "point" Spec K to X that respects the structure of X being defined over K. The commuting condition pt ≫ X.f = 𝟙 (Spec (.of K)) formalizes this "respecting the structure".
Junyan Xu (May 29 2025 at 23:24):
I think the following is a valid equivalent statement of Mordell conjecture: let A be a finitely type Q-algebra of trdeg=1 over Q which is an integral domain after base change to Qbar, whose FractionRing is not isomorphic to the FractionRing of Q[X,Y]/⟨f⟩ with f.totalDegree ≤ 3. Then the number of Q-homomorphisms from A to Q is finite. We could have this in Formal Conjectures today :)
Damiano Testa (May 30 2025 at 06:18):
I am not sure if I like or I am horrified by how you side-step the "genus at least 2" hypothesis!
Damiano Testa (May 30 2025 at 06:18):
By the way, your statement is not completely equivalent to the Mordell conjecture: all genus one curves without rational points are included in yours, but not in Mordell's.
Damiano Testa (May 30 2025 at 06:20):
You could of course say that it is not a cubic (or a conic!) geometrically, again.
Kenny Lau (May 30 2025 at 08:31):
Damiano Testa said:
You could of course say that it is not a cubic (or a conic!) geometrically, again.
i think that was the point of <= 3
Kevin Buzzard (May 30 2025 at 08:55):
If you have a smooth proj curve of genus 1 over a field k (even of char 0) with no k-points then you can't always realise it as a plane cubic.
Kevin Buzzard (May 30 2025 at 08:55):
The usual elliptic curve algorithm basically starts "choose a point and put it at infinity by writing down functions which have poles at this point"
Kevin Buzzard (May 30 2025 at 08:59):
I agree that Junyan's statement looks ok but probably the goal here should be to define genus (and curve!) rather than sidestepping it
Junyan Xu (May 30 2025 at 08:59):
By the way, your statement is not completely equivalent to the Mordell conjecture: all genus one curves without rational points are included in yours, but not in Mordell's.
This is a good point, but if you aim to prove there are finitely many rational points you can of course assume there's at least one. Also I think FractionRings of Q[X,Y]/⟨f⟩ with deg f ≤ 3 also covers some genus 1 curves of index 3 rather than 1 (⇔ existence of rational point) ( should be an example, and this paper shows that the index of a genus 1 curve over Q can be arbitrary).
Michael Stoll (May 30 2025 at 09:47):
Is it easy to use your suggested formal statement to deduce that the set of pairs of rational numbers such that is finite?
(I.e., we not only want some statement of the result, but one that can be used to deduce other facts that might be of interest.)
Kevin Buzzard (May 30 2025 at 09:49):
Surely that's very hard, because we don't have a definition of genus :-)
Michael Stoll (May 30 2025 at 09:49):
That's the point! :slight_smile:
Kevin Buzzard (May 30 2025 at 09:51):
Angdinata and Xu faced a similar problem when proving associativity of the group law on a plane cubic -- injectivity of the map from the points to the class group boiled down to showing that there was no isomorphism between the function field and . They solved this problem in a low-level way, perhaps their ideas generalise?
Michael Stoll (May 30 2025 at 09:54):
We really will need a definition of the genus of a curve / function field with good API (so that we can for example show that the genus of a hyperelliptic curve with squarefree of degree is ).
Kenny Lau (May 30 2025 at 10:05):
A bit relevant is the Picard group, which is Xu's PR #21776 (a draft), and for the "correct" definition to work I also made #25249 to show that the category of finitely generated R-modules is essentially small (so please review!)
Kenny Lau (May 30 2025 at 10:06):
I know technically you can sidestep the Picard group since cl(A^1)=0, but I think it would still be nice to be able to state it formally in Lean
Junyan Xu (May 30 2025 at 10:06):
Starting from a function field, you can define g as d/2+1 where d is the degree of any canonical divisor, and it will be clearly invariant under isomorphisms of function fields.
Not sure how easy it is to compute it: we need to compute the order of a differential (KaehlerDifferential K K(C)) at each point (valuation) of the function field. For hyperelliptic curves we can probably prove and use Riemann--Hurwitz for the double cover.
Still have to show for deg f ≤ 3 we get genus 0 or 1.
Andrew Yang (May 30 2025 at 10:07):
I was about to ask if there is a proof without Riemann Hurwitz?
Junyan Xu (May 30 2025 at 10:09):
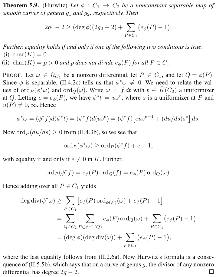
I think Riemann Hurwitz isn't too bad; the proof on Silverman is basically choosing a differential and compute.
image.png
Kenny Lau (May 30 2025 at 10:10):
It's also a bit subtler here (I just checked Silvermann), actually y^2 = x^5 + 37 here is singular at the point at infinity, so the correct curve doesn't actually live in P^2!
Junyan Xu (May 30 2025 at 10:12):
Angdinata and Xu faced a similar problem when proving associativity of the group law on a plane cubic -- injectivity of the map from the points to the class group boiled down to showing that there was no isomorphism between the function field and . They solved this problem in a low-level way, perhaps their ideas generalise?
It's interesting to note that the proof still works for singular Weierstrass curves whose function fields are isomorphic to . But here we are really defining the (geometric) genus as an invariant of the function field.
Junyan Xu (May 30 2025 at 10:20):
Actually Exercise 2.14 computes the genus of hyperelliptic curves :)
Andrew Yang (May 30 2025 at 10:25):
I am reading the first line of the statement and I (or lean) already cannot follow. Is there an easy proof (without some Zariski main-like argument) that all nonconstant maps between curves are finite? (or we could just assume this)
Junyan Xu (May 30 2025 at 10:34):
I think we probably don't need Hurwitz here after all. There are either one or two points at infinity on the hyperelliptic curve depending on whether the degree of f is odd or even, and we'd just find appropriate uniformizers at the point(s) to compute the order of . On the affine plane the order is only nonzero at the roots of f.
Junyan Xu (May 30 2025 at 10:37):
all nonconstant maps between curves are finite
Do you mean the fibers are finite? I think in general one proves the sum of ramification indices equals the degree of the function field extension, so fibers have cardinality at most the degree.
Kenny Lau (May 30 2025 at 10:37):
@Junyan Xu I think you're still missing the fact that it's singular at the point(s) of infinity and so you have to embed it to P^(g+2) (which Exercise 2.14 did)
Kenny Lau (May 30 2025 at 10:41):
Junyan Xu said:
all nonconstant maps between curves are finite
Do you mean the fibers are finite? I think in general one proves the sum of ramification indices equals the degree of the function field extension, so fibers have cardinality at most the degree.
it's an equivalent statement, but I believe here it meant finite in the algebra sense where A -> B is "finite" := B is a finitely generated A-module, and then this definition can be generalised to schemes.
Junyan Xu (May 30 2025 at 10:41):
I'm hoping we can work with the function field without using an embedding, though the embedding probably helps you figure out what the uniformizers are.
There is always only one point at infinity if you don't resolve the singularity.
Andrew Yang (May 30 2025 at 10:43):
finite as in "affine + affine locally comes from finite ring homs", which is equivalent to "proper + finite fibers" under (some version of) zariski main.
Kenny Lau (May 30 2025 at 10:44):
Does the smooth curve still have function field Frac(Q[x,y]/(y^2-f(x)))?
Junyan Xu (May 30 2025 at 10:44):
I am reading the first line of the statement and I (or lean) already cannot follow.
Sorry, I should have asked what statement you're reading. The book excerpt I posted doesn't mention this finiteness notion apparently.
Junyan Xu (May 30 2025 at 10:46):
Does the smooth curve still have function field Frac(Q[x,y]/(y^2-f(x)))?
Yeah, resolution of singularities means finding a smooth projective variety with the same function field.
Damiano Testa (May 30 2025 at 11:42):
My comment above was simply intended to point out that I would not call that statement "the Mordell conjecture". I know that any two true statements are equivalent, so they are certainly equivalent and I also know that if a curve of genus 1 has a point, then it is isomorphic to a plane cubic. However, the (easy) argument that a curve not admitting points certainly has finitely many is "extra".
Damiano Testa (May 30 2025 at 11:42):
So, I was simply pointing out that I expected that in a repository called "Formal conjectures", the statement of the Mordell conjecture would be "strictly equivalent" to the Mordell conjecture, not "equivalent up to filling in a couple of extra easy steps".
Junyan Xu (May 30 2025 at 12:34):
So you are saying if I replace "whose FractionRing is not isomorphic to the FractionRing of Q[X,Y]/⟨f⟩ with deg f ≤ 3" by "whose FractionRing after base change to Qbar is not isomorphic to the FractionRing of Qbar[X,Y]/⟨f⟩ with deg f ≤ 3", then you would consider the statement the Mordell conjecture? There are harder "extra"s (like "if a curve of genus 1 has a point then it's isomorphic to a plane cubic" you pointed out) to show this is equivalent to the usual statement on Wikipedia, and it would be weird if we are free to use them but are not allowed to use simple logic. I think we could allow these arguments which are well known before the proof (or even formulation) of the Mordell conjecture, and still think the statement (an elementary form of) the Mordell conjecture. We just need appropriate docstrings documenting the non-obvious steps to show it's equivalent to the usual formulation.
Damiano Testa (May 30 2025 at 12:39):
I agree that eventually it becomes a matter of taste, but then why not also include all curves that have no points in your statement, instead of just some genus one curves with no points?
Damiano Testa (May 30 2025 at 12:40):
It really seems to me that the issue is that there is no definition of genus and, one way or another, this statement exposes the lack of this definition.
Damiano Testa (May 30 2025 at 12:46):
So, you could also say "If a smooth projective curve over Q has a point and it is not isomorphic to a plane curve of degree at most 3, then it only has finitely many points". This is another "variant" of the Mordell conjecture.
Kevin Buzzard (May 30 2025 at 18:39):
(connected)
Last updated: Feb 28 2026 at 14:05 UTC