Zulip Chat Archive

Stream: mathlib4

Topic: Numeric estimates for logarithms


Michael Rothgang (May 28 2025 at 10:53):

Formalising some analysis, I need to prove the following numeric calculation. Is there any way to make them less tedious?

Firstly, the basic one: perhaps this is really fodder for an approx tactic.

example : 68/100 < Real.log 2 := by
  rw [Real.lt_log_iff_exp_lt (by norm_num)]
  -- goal is now Real.exp 68/100 < 2; the LHS is about 1.97
  sorry

However, behold the tedium for the following

example : 3 * (4 : Real)⁻¹  12 * Real.log 2 := by
  have : 68/100 < Real.log 2 := sorry -- previous sorry
  trans 12 * (68/100)
  · norm_num
  · gcongr

Is there a way to make this less tedious? For instance, a norm_num extension for logarithms? Can norm_num pick up facts in the local context (perhaps not)? Is there a better tactic?

Kenny Lau (May 28 2025 at 11:04):

@Michael Rothgang linarith solves the second example

Kenny Lau (May 28 2025 at 11:10):

as for the first example, I'm not saying this is the desired outcome, but I'm saying that if anyone is interested to write a tactic for exp, here is what you would use:

example : 68/100 < Real.log 2 := by
  rw [Real.lt_log_iff_exp_lt (by norm_num)]
  exact (Real.exp_bound' (by norm_num) (by norm_num) (by norm_num : 0 < 10)).trans_lt (by norm_num)

Michael Rothgang (May 28 2025 at 12:00):

Thanks a lot! You've golfed today's proof for the Carleson project!

Sébastien Gouëzel (May 28 2025 at 12:04):

An even better golf is to use docs#Real.log_two_gt_d9 :-)

Luigi Massacci (May 28 2025 at 12:06):

Didn't @Geoffrey Irving develop a tactic that could do this kind of stuff?

Sébastien Gouëzel (May 28 2025 at 12:07):

So,

import Mathlib

example : 3 * (4 : Real)⁻¹  12 * Real.log 2 := by linarith [Real.log_two_gt_d9]

Michael Rothgang (May 28 2025 at 12:21):

There's also #8949 by @Sebastian Zimmer

Michael Rothgang (May 28 2025 at 12:21):

which depends on #8167: that PR has been waiting for review for a long time.

Kevin Buzzard (May 28 2025 at 12:59):

I guess the way to get such a PR in is to first establish that at least one maintainer wants it in and then to continue approaching people saying "please review this" until someone gives in. It doesn't look like it's going to get over the line "organically".

Bryan Gin-ge Chen (May 28 2025 at 13:09):

#8167 at least seems to have maintainer interest since two maintainers are listed as co-authors; unfortunately maybe they would have been best placed to merge...

Bhavik Mehta (May 28 2025 at 14:25):

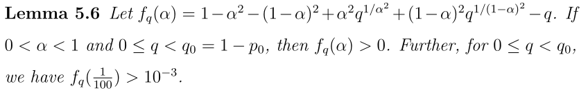
Calculations like this show up all the time for me, for instance all of these were needed in the ramsey project:
image.png
I'd be very happy to see a general tactics which makes these easier, since I had a couple of ad-hoc methods to make these work

Alex Meiburg (May 28 2025 at 20:29):

ComputableReal is for exactly this type of goal, if you're okay with native_decide!

Kevin Buzzard (May 28 2025 at 22:53):

Unfortunately I think we want proofs that the kernel will be happy with here.

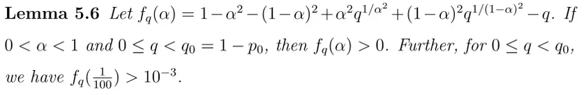
Joseph Myers (May 28 2025 at 23:03):

I had such a statement in my PhD whose proof ended up involving numerical bounds on logarithms (I definitely don't plan for formalize this!).

a.png

(p0p_0 is defined elsewhere as the real root of a certain cubic polynomial.)

Bhavik Mehta (May 29 2025 at 02:37):

Yeah, all of these were done without native_decide. Looking at ComputableReal, it also doesn't support logs or real powers, both of which I worked with a ton

Alex Meiburg (May 29 2025 at 16:26):

Ah shoot, it does support logs - but on the dev branch, where it's not 100% done. (The specific case of Real.exp 68/100 < 2 from the original message would be done though.)

Jireh Loreaux (May 29 2025 at 17:18):

Alex, I think this is addressed elsewhere, but I can't find it at the moment. What would it take to eliminate native_decide from ComputableReal?

Alex Meiburg (May 29 2025 at 20:37):

From the Lean side: allowing decide (or decide +kernel) to reduce a partial def would be sufficient, and "cleanest" in the very particular sense that it wouldn't require other modifications to that library.

The other way - which would involve changes only to the library, but many of them - would be to add some kind of gas parameters to all operations (notably, inv and Real.log need this). Then the decidable instance would be something like, trying to find a witness in the first gas many steps of some sequence of bounds, and then otherwise "falling back" to Classical.propDecidable.


Last updated: Feb 28 2026 at 14:05 UTC