Zulip Chat Archive

Stream: CSLib

Topic: term rewriting


Chris Henson (Dec 19 2025 at 00:06):

I have opened cslib#230 proving some more properties of relations. I wanted to discuss a few design decisions here. First is the definition

abbrev Terminating (r : α  α  Prop) := WellFounded (fun a b => Relation.TransGen r b a)

I was able to write some proofs exactly as I expected, but I wanted to double check that this makes sense, is the right generality, etc. Cc @Bhavik Mehta who suggested reusing WellFounded.

The second is the addition of commuting relations. You could for instance define confluence as a relation commuting with itself and similarly for other definitions. I chose not to do so, as it seemed a bit harder to work with. I instead just added rfl theorems showing their equivalence. Does this seem okay?

Lastly I added

abbrev Relation.Union (r₁ r₂ : α  α  Prop) (a₁ a₂) := r₁ a₁ a₂  r₂ a₁ a₂

which I was somewhat surprised didn't exist already. Did I miss some other equivalent formulation?

Eric Wieser (Dec 19 2025 at 00:21):

The second one is r₁ ⊔ r₂

Chris Henson (Dec 19 2025 at 00:43):

Eric Wieser said:

The second one is r₁ ⊔ r₂

Thanks!

Malvin Gattinger (Dec 19 2025 at 11:41):

Is "terminating" used in this way in the literature with the TransGen included? It is equivalent to a version without that, right?

abbrev Terminating {α : Type} (r : α  α  Prop) := WellFounded (fun a b => Relation.TransGen r b a)
abbrev Terminating' {α : Type} (r : α  α  Prop) := WellFounded (fun a b => r b a)

equivalence proof

Chris Henson (Dec 19 2025 at 12:21):

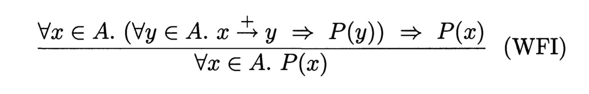
The reference I am primarily working from is Term Rewriting and All That, where "terminating" is defined as there being no infinite descending chain, i.e. docs#wellFounded_iff_isEmpty_descending_chain

My thought process was simply that to match up with the induction principle
Screenshot_20251219-060912.png
they presented, that it seemed I needed to both flip and take the transitive closure. I knew about docs#WellFounded.transGen, but had trouble with the other direction of your proof. (And then questioned if it held since it wasn't in core already)

It would be nice to have this, can I adapt it into my PR?

Chris Henson (Dec 19 2025 at 13:10):

This can be written pretty compactly with grind, I think I'd just add this:

import Mathlib.Order.WellFounded

variable {α : Type*} {r : α  α  Prop}

theorem WellFounded.ofTransGen (trans_wf : WellFounded (Relation.TransGen r)) : WellFounded r := by
  grind [WellFounded.wellFounded_iff_has_min, Relation.TransGen]

Malvin Gattinger (Dec 19 2025 at 13:17):

Oh, nice. Maybe that one should even be in Mathlib Core already? And yes, feel free to use any of my code above in any way you want.

Thomas Waring (Dec 20 2025 at 04:29):

Malvin Gattinger said:

Oh, nice. Maybe that one should even be in Mathlib Core already? And yes, feel free to use any of my code above in any way you want.

It's not there but the version for Acc is: docs#acc_transGen_iff meaning this works too

theorem WellFounded.ofTransGen (trans_wf : WellFounded (Relation.TransGen r)) : WellFounded r :=
  fun x => acc_transGen_iff.mp <| trans_wf.apply x

Thomas Waring (Dec 20 2025 at 04:35):

Terminating as you've defined it would often be called "strongly normalising" right? No need to change the name but perhaps you could mention that in the docstring. In eg untyped lambda calculi we also want to talk about particular terms that are strongly normalising, which would be equivalent to them being Acc, might be nice to have that as well.

Eric Wieser (Dec 20 2025 at 04:48):

I think you should rather add the Iff version, WellFounded (Relation.TransGen r) ↔ WellFounded r, as a simp lemma

Chris Henson (Dec 20 2025 at 05:03):

Thomas Waring said:

Terminating as you've defined it would often be called "strongly normalising" right? No need to change the name but perhaps you could mention that in the docstring. In eg untyped lambda calculi we also want to talk about particular terms that are strongly normalising, which would be equivalent to them being Acc, might be nice to have that as well.

Yes, SN and terminating (also Noetherian) are sometimes used as synonyms. I can add a note in the docstring. I agree that there are situations where it is useful to talk about this property on a subset of terms, I'd not thought about this yet.

Thomas Waring (Dec 20 2025 at 06:02):

great, thanks— ive been looking at intersection types a bit (on paper), so possibly down the track i can add the term-by-term version


Last updated: Feb 28 2026 at 14:05 UTC